Probability and Expected Value

Weighted Average

The formula of expected value is:

or

where is the payoff of each outcome, is the corresponding probability. Note that weightes must sum to 1.

Sensitivity Analysis

A typical decision model depends on many assumptions. We use sensitivity analysis to determine how the probabilities are likely to change.

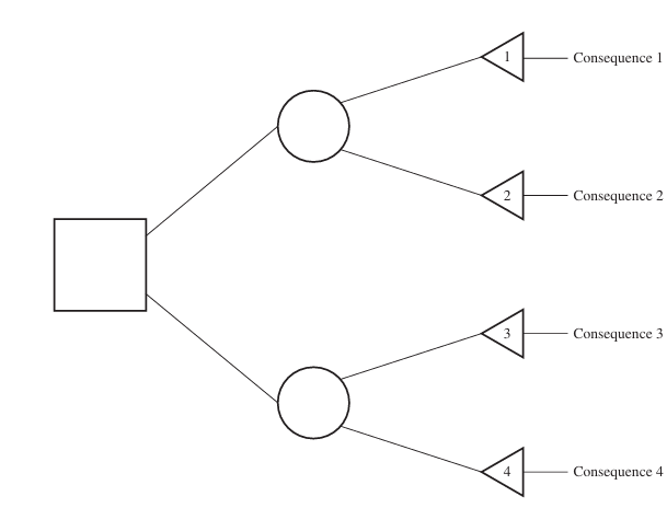
Decision Trees

A terminal node with a consequence branchshowing the payoff for that outcome.

Sequential Decisions and Conditional Probabilities

Sequential Decision: Decision is made step by step, where each decision depends on the previous outcome. Conditional Probability: The probability of one event when another event has already occurred.